Definite Integral

If you are looking for Definite Integral you've come to the right place. We have 30 images about Definite Integral including images, pictures, photos, wallpapers, and more. In these page, we also have variety of images available. Such as png, jpg, animated gifs, pic art, logo, black and white, transparent, etc.

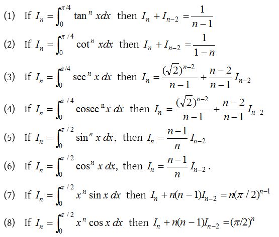
definite integral formulas

Not only Definite Integral, you could also find another pics such as How Find, Area Under Curve, Limit Definition, How Do, Infinite Series Formula, Integration Parts Formula, Cheat Sheet, Formula Sheet, Absolute Value, Summation Notation, Riemann Sum, What is, Properties Examples, vs Indefinite, Examples Solutions, Express Limit As, Steps, Function, As Limit Sum, and Product Rule For.

definite integral definition illustrated mathematics dictionary 216×223 definite integral definition illustrated mathematics dictionary from www.mathsisfun.com
definite integral formula formula  maths 1747×1402 definite integral formula formula maths from formulainmaths.in
definite integral 715×402 definite integral from fity.club
definite integral calculus testbookcom 437×58 definite integral calculus testbookcom from testbook.com
definite integral formulas solution 1237×1600 definite integral formulas solution from learningscience.co.in
definite integral calculate formula properties 518×481 definite integral calculate formula properties from www.cuemath.com
definite integral lessons blendspace 1280×720 definite integral lessons blendspace from www.blendspace.com
calculate  definite integral  engineerorg 640×612 calculate definite integral engineerorg from x-engineer.org
solvedwhat  definite   definite integral 480×270 solvedwhat definite definite integral from www.numerade.com
definite integral definition  statistics 375×129 definite integral definition statistics from www.statisticshowto.com
definite integral definition formula   calculate geeksforgeeks 1000×470 definite integral definition formula calculate geeksforgeeks from www.geeksforgeeks.org
calculate  definite integral geeksforgeeks 474×461 calculate definite integral geeksforgeeks from www.geeksforgeeks.org
definite integral powerpoint    id 1024×768 definite integral powerpoint id from www.slideserve.com
solution  definite integral studypool 1275×1650 solution definite integral studypool from www.studypool.com
definite integral bs notes 1280×1656 definite integral bs notes from www.perfect24u.com
definition calculus topics definite integral mediamath 790×612 definition calculus topics definite integral mediamath from www.media4math.com
solved evaluate  definite integrals  properties  cheggcom 1150×900 solved evaluate definite integrals properties cheggcom from www.chegg.com
definite integrals cbse library 555×473 definite integrals cbse library from cbselibrary.com
definite integrals 230×289 definite integrals from www.myqbook.com
interpret  calculate  definite integral house  math 1000×482 interpret calculate definite integral house math from www.houseofmath.com
solved evaluate   definite integral cheggcom 700×597 solved evaluate definite integral cheggcom from www.chegg.com
solved key concepts  definition   definite integral 2123×1548 solved key concepts definition definite integral from www.coursehero.com
solved   definition   definite integral  cheggcom 884×162 solved definition definite integral cheggcom from www.chegg.com
integral solver 1280×720 integral solver from fity.club
integral 1280×720 integral from fity.club
solved  definition   definite integral  cheggcom 643×440 solved definition definite integral cheggcom from www.chegg.com
definite integral formulas 1240×1754 definite integral formulas from ar.inspiredpencil.com
definite integrals examples  answers neurochispas 768×444 definite integrals examples answers neurochispas from en.neurochispas.com
demystifying definite integrals concept  calculation joyanswerorg 600×500 demystifying definite integrals concept calculation joyanswerorg from joyanswer.org
solved  integrand   definite integral   difference 1024×1002 solved integrand definite integral difference from www.numerade.com

Don't forget to bookmark Definite Integral using Ctrl + D (PC) or Command + D (macos). If you are using mobile phone, you could also use menu drawer from browser. Whether it's Windows, Mac, iOs or Android, you will be able to download the images using download button.

Search Results for: Definite Integral

Maaf, tidak ada yang cocok pencarian Anda. Silahkan coba lagi dengan kata kunci yang berbeda.