Differentiable Function

If you are looking for Differentiable Function you've come to the right place. We have 22 images about Differentiable Function including images, pictures, photos, wallpapers, and more. In these page, we also have variety of images available. Such as png, jpg, animated gifs, pic art, logo, black and white, transparent, etc.

solved determine   functions  differentiable  cheggcom

Not only Differentiable Function, you could also find another pics such as When Is, Elementary Calculus, How Find, What Is Twice, WhereIs, Piecewise, Is, Continuous, Continuous but Not, Continuous Non, Basic Graph, Continuous Function, Derivative, Smooth Function, Weierstrass Function, Differential Calculus, Analytic Function, Differentiation Rules, Maxima and Minima, Vertical Tangent, Fermat's theorem, and Elementary Function.

differentiable function wikiwand 1200×1200 differentiable function wikiwand from www.wikiwand.com
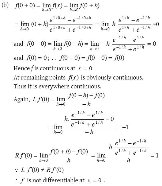
differentiable function cbse library 529×606 differentiable function cbse library from cbselibrary.com
differentiable function 735×568 differentiable function from in.pinterest.com
graph   differentiable function   cameramath 2837×993 graph differentiable function cameramath from cameramath.com
solved determine   functions  differentiable  cheggcom 2421×511 solved determine functions differentiable cheggcom from www.chegg.com
solved differentiable function   differentiable function cheggcom 536×421 solved differentiable function differentiable function cheggcom from www.chegg.com
differentiable formula rules examples 469×412 differentiable formula rules examples from www.cuemath.com
differentiable function   sarthaks econnect 196×215 differentiable function sarthaks econnect from www.sarthaks.com
differentiability  functions overview equation examples video 1024×576 differentiability functions overview equation examples video from study.com
solved differentiablethe function   differentiable  cheggcom 2345×933 solved differentiablethe function differentiable cheggcom from www.chegg.com
function differentiable   hole 1280×720 function differentiable hole from bradley-kkaiser.blogspot.com
solved determine  function   differentiable  cheggcom 1683×473 solved determine function differentiable cheggcom from www.chegg.com
solved  explain   function  differentiable cheggcom 1142×391 solved explain function differentiable cheggcom from www.chegg.com
solved   function   differentiated   called cheggcom 816×282 solved function differentiated called cheggcom from www.chegg.com
function  differentiable  simple guide 1213×832 function differentiable simple guide from www.storyofmathematics.com
differentiable functions powerpoint 1024×768 differentiable functions powerpoint from www.slideserve.com
differentiable function meaning formulas  examples outlier 4501×2663 differentiable function meaning formulas examples outlier from articles.outlier.org
solved      differentiable function fxy cheggcom 1240×1389 solved differentiable function fxy cheggcom from www.chegg.com
solved   differentiable function    function cheggcom 1576×699 solved differentiable function function cheggcom from www.chegg.com
iii  functions     differentiable cheggcom 1170×212 iii functions differentiable cheggcom from www.chegg.com
solved explain   function  differentiable   cheggcom 1782×298 solved explain function differentiable cheggcom from www.chegg.com
solved show   function  differentiable  finding cheggcom 1472×567 solved show function differentiable finding cheggcom from www.chegg.com

Don't forget to bookmark Differentiable Function using Ctrl + D (PC) or Command + D (macos). If you are using mobile phone, you could also use menu drawer from browser. Whether it's Windows, Mac, iOs or Android, you will be able to download the images using download button.

Search Results for: Differentiable Function

Maaf, tidak ada yang cocok pencarian Anda. Silahkan coba lagi dengan kata kunci yang berbeda.