Fractional Powers

If you are looking for Fractional Powers you've come to the right place. We have 24 images about Fractional Powers including images, pictures, photos, wallpapers, and more. In these page, we also have variety of images available. Such as png, jpg, animated gifs, pic art, logo, black and white, transparent, etc.

fractional exponents rules method simplification examples

Not only Fractional Powers, you could also find another pics such as Quadratic Equation, Factoring Equations, Binomial Theorem, Cheat Sheet, Rational Exponents, Negative, Two-Stage, Graphs, Algebra, and Order.

negative  fractional powers teaching resources 500×281 negative fractional powers teaching resources from www.tes.com
negative  fractional powers 768×994 negative fractional powers from studylib.net
fractional powers gcse maths steps examples worksheet 768×230 fractional powers gcse maths steps examples worksheet from thirdspacelearning.com
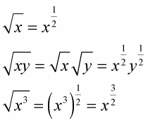
fractional powers 2507×1673 fractional powers from online-learning-college.com
index laws negative fractional powers  elijah kelvin blog 1024×662 index laws negative fractional powers elijah kelvin blog from storage.googleapis.com
fractional exponents explanation examples 1298×649 fractional exponents explanation examples from www.storyofmathematics.com
simplify powers  fractions  fractional exponents krista 500×500 simplify powers fractions fractional exponents krista from www.kristakingmath.com
fractional power pleinert partner 980×980 fractional power pleinert partner from www.pleinertpartner.com
fractional exponents rules method simplification examples 477×234 fractional exponents rules method simplification examples from www.cuemath.com
fractional powers   core  modes  scientific diagram 850×231 fractional powers core modes scientific diagram from www.researchgate.net
power fractional parts  wolfram mathworld 400×247 power fractional parts wolfram mathworld from mathworld.wolfram.com
fractional  negative powers 403×552 fractional negative powers from mathscloud.co.uk
fractional indices gcse maths steps examples worksheet 1057×600 fractional indices gcse maths steps examples worksheet from thirdspacelearning.com
fractional powers     core   effective 850×389 fractional powers core effective from www.researchgate.net
distribute  fractional powers  radicals dummies 210×174 distribute fractional powers radicals dummies from www.dummies.com
equation involving fractional powers  prime numbers 850×1203 equation involving fractional powers prime numbers from www.researchgate.net
fractional exponents worksheets 794×1053 fractional exponents worksheets from buaiteoirr4sdblearning.z21.web.core.windows.net
fractional power law fit   dependence  scientific diagram 850×618 fractional power law fit dependence scientific diagram from www.researchgate.net
fraction powers starting points maths 1203×658 fraction powers starting points maths from startingpointsmaths.com
power fractional calculus  definitions  properties 850×1202 power fractional calculus definitions properties from www.researchgate.net
fractional     fraction power rule  work 599×520 fractional fraction power rule work from informacionpublica.svet.gob.gt
fractional powers youtube 1280×720 fractional powers youtube from www.youtube.com
fractional indices gcse higher maths youtube 0 x 0 fractional indices gcse higher maths youtube from www.youtube.com
indices fractional powers youtube 1280×720 indices fractional powers youtube from www.youtube.com

Don't forget to bookmark Fractional Powers using Ctrl + D (PC) or Command + D (macos). If you are using mobile phone, you could also use menu drawer from browser. Whether it's Windows, Mac, iOs or Android, you will be able to download the images using download button.

Search Results for: Fractional Powers

Maaf, tidak ada yang cocok pencarian Anda. Silahkan coba lagi dengan kata kunci yang berbeda.