Polyphase Coil

If you are looking for Polyphase Coil you've come to the right place. We have 33 images about Polyphase Coil including images, pictures, photos, wallpapers, and more. In these page, we also have variety of images available. Such as png, jpg, animated gifs, pic art, logo, black and white, transparent, etc.

rangkaian polyphase

Not only Polyphase Coil, you could also find another pics such as Polyphase System, Symmetrical Components, Tesla Coil, Bifilar Coil, Hybrid Coil, Loading Coil, Rogowski Coil, Maxwell Coil, Helmholtz Coil, Single Coil, Choke, Ignition Coil, Torque Converter, Power Grid, FIR Filter, Motor Rotor, Charging Coil, Algorithm Diagram, Filter Symbol, Electricity Transmission, AC Motor, AC Generator, Power Supply, and Motor Circuit.

pcb coil absolute electronics services 1284×830 pcb coil absolute electronics services from absolutepcbassembly.com
polymeric coils     pva filament  primary coil 640×640 polymeric coils pva filament primary coil from www.researchgate.net
phase diagram   coil rod coil amphiphilic triblock copolymer 491×491 phase diagram coil rod coil amphiphilic triblock copolymer from www.researchgate.net
polymer coil     proprietary polymer structure  mimics 682×599 polymer coil proprietary polymer structure mimics from www.researchgate.net
sav gen polyphase generator sinusoidal wave  coil diagram puzzle 736×414 sav gen polyphase generator sinusoidal wave coil diagram puzzle from www.pinterest.com
phase diagram  batch  colloid  random coil polymer 640×640 phase diagram batch colloid random coil polymer from www.researchgate.net
polymer coil globule phase transition   universal folding 850×1100 polymer coil globule phase transition universal folding from www.researchgate.net
polyphase circuits 768×1024 polyphase circuits from www.scribd.com
polyphase 768×1024 polyphase from www.scribd.com
polyphase circuits  ed    capacitor ac power 768×1024 polyphase circuits ed capacitor ac power from www.scribd.com
polyphase system  inductor electromagnetic induction 768×1024 polyphase system inductor electromagnetic induction from www.scribd.com
polyphase system  alternating current electric power 768×1024 polyphase system alternating current electric power from www.scribd.com
polyphase youtube 1280×720 polyphase youtube from www.youtube.com
polyphase circuit lecture youtube 0 x 0 polyphase circuit lecture youtube from www.youtube.com
polyphase system part st youtube 1280×720 polyphase system part st youtube from www.youtube.com
rangkaian polyphase 768×1024 rangkaian polyphase from id.scribd.com
polyphase system part  youtube 1280×720 polyphase system part youtube from www.youtube.com
part  unit  polyphase ac circuits basic electrical engineering 0 x 0 part unit polyphase ac circuits basic electrical engineering from www.youtube.com
polyphase linktree 1200×630 polyphase linktree from linktr.ee
polyphase system wikiwand 640×478 polyphase system wikiwand from www.wikiwand.com
polyphase network 1280×900 polyphase network from qrp-labs.com
polyphase systems  dvd alexander publications 450×450 polyphase systems dvd alexander publications from www.alexanderpublications.com
polyphase ac circuits 768×1024 polyphase ac circuits from www.scribd.com
ch polyphase 638×479 ch polyphase from www.slideshare.net
pin  generation 613×455 pin generation from www.pinterest.com
modifications  expansions   tesla polyphase systems 607×548 modifications expansions tesla polyphase systems from www.lab-tesla.org
basics  polyphase power 432×575 basics polyphase power from testandmeasurementtips.com
general polyphase structure  scientific diagram 492×492 general polyphase structure scientific diagram from www.researchgate.net
solved   reference  polyphase circuits define  cheggcom 1409×723 solved reference polyphase circuits define cheggcom from www.chegg.com
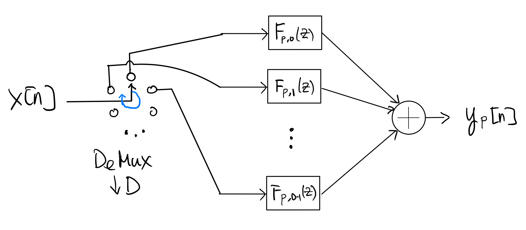
polyphase filtering digital communications  sdrs 2010×881 polyphase filtering digital communications sdrs from tanfwong.github.io
chapter  polyphase circuit analysispptx 640×480 chapter polyphase circuit analysispptx from www.slideshare.net
origin   polyphase current kathy loves physics 1200×630 origin polyphase current kathy loves physics from kathylovesphysics.com
maximum polyphase  colored  blue  shape  distinct 850×312 maximum polyphase colored blue shape distinct from www.researchgate.net

Don't forget to bookmark Polyphase Coil using Ctrl + D (PC) or Command + D (macos). If you are using mobile phone, you could also use menu drawer from browser. Whether it's Windows, Mac, iOs or Android, you will be able to download the images using download button.

Search Results for: Polyphase Coil

Maaf, tidak ada yang cocok pencarian Anda. Silahkan coba lagi dengan kata kunci yang berbeda.