Surface Gravity

If you are looking for Surface Gravity you've come to the right place. We have 35 images about Surface Gravity including images, pictures, photos, wallpapers, and more. In these page, we also have variety of images available. Such as png, jpg, animated gifs, pic art, logo, black and white, transparent, etc.

gravity worksheet  kids

Not only Surface Gravity, you could also find another pics such as Above Earth, Astronomy Example, Mars Planet, Waves Coastal Erosion, Cosmic Horizon, For Kids, Clip Art, Earth, Uranus, Venus, Planets, Near Earth, Draw, Waves Diagram, Examples, Planets 8, Exoplanets, Graph, Waves Diargram, What Is Equation, WaveFront Propagation, Formula Sound Waves, and Planets Solar System.

gravity  motion keplernewton powerpoint 1024×768 gravity motion keplernewton powerpoint from www.slideserve.com
thursday january     discuss    gravity 1024×768 thursday january discuss gravity from slideplayer.com
gravity definition 1920×1080 gravity definition from ar.inspiredpencil.com
gravity powerpoint    id 1024×768 gravity powerpoint id from www.slideserve.com
universal gravitation 1024×768 universal gravitation from slideplayer.com
astronomy elementary astronomy 1024×768 astronomy elementary astronomy from slideplayer.com
introduction  astronomy powerpoint 1024×768 introduction astronomy powerpoint from www.slideserve.com
lesson surface gravity nagwa 760×427 lesson surface gravity nagwa from www.nagwa.com
surface gravity  sun moon solar system planets vector infographic 1300×1189 surface gravity sun moon solar system planets vector infographic from www.alamy.com
surface gravity  sun moon solar masterbundles 2048×1356 surface gravity sun moon solar masterbundles from masterbundles.com
surface gravity  planets 1280×720 surface gravity planets from ar.inspiredpencil.com
schematic illustration   propagation  surface gravity waves 786×673 schematic illustration propagation surface gravity waves from www.researchgate.net
gravitational force  field tikznet 2305×1466 gravitational force field tikznet from tikz.net
newtons law  gravitation 1024×768 newtons law gravitation from slideplayer.com
sequential stages  surface gravity wave running    moments 640×640 sequential stages surface gravity wave running moments from www.researchgate.net
surface gravity   body  radius function rth 683×447 surface gravity body radius function rth from www.researchgate.net
gravitational force nasa science 6667×3750 gravitational force nasa science from science.nasa.gov
nasa svs mapping earths gravity 3840×2160 nasa svs mapping earths gravity from svs.gsfc.nasa.gov
surface gravity calculator 1000×560 surface gravity calculator from calculatorshub.net
gravitational force geeksforgeeks 768×384 gravitational force geeksforgeeks from www.geeksforgeeks.org
gravitation  newtons synthesis 1024×576 gravitation newtons synthesis from slideplayer.com
gravity map  earth  science photo library 900×900 gravity map earth science photo library from sciencephotogallery.com
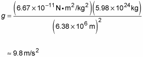
calculate  force  gravity   earths surface dummies 293×117 calculate force gravity earths surface dummies from www.dummies.com
magnetism  gravity relationship  alyssa corrie blog 1024×768 magnetism gravity relationship alyssa corrie blog from storage.googleapis.com
gravity definition physics facts britannica 474×237 gravity definition physics facts britannica from www.britannica.com
gravity  orbital mechanics  space exploration powerpoint 2560×1920 gravity orbital mechanics space exploration powerpoint from www.slideserve.com
earths changing gravity earthdate 782×522 earths changing gravity earthdate from www.earthdate.org
gravity worksheet  kids 5235×2738 gravity worksheet kids from learningschoolshoelace.z14.web.core.windows.net
strong  earths gravity worldatlas 845×845 strong earths gravity worldatlas from www.worldatlas.com
mass  weight information facts sciencefun 500×483 mass weight information facts sciencefun from science4fun.info
gravity 526×374 gravity from www.ux1.eiu.edu
lesson newtons law  universal gravitation nagwa 1344×756 lesson newtons law universal gravitation nagwa from www.nagwa.com
newtons law  find 600×444 newtons law find from ideal.accelerate-ed.com
satellite creates  global gravity map  earth popular science 786×427 satellite creates global gravity map earth popular science from www.popsci.com
gravity map  earth acheter une photo  science photo library 1100×869 gravity map earth acheter une photo science photo library from www.sciencephoto.fr

Don't forget to bookmark Surface Gravity using Ctrl + D (PC) or Command + D (macos). If you are using mobile phone, you could also use menu drawer from browser. Whether it's Windows, Mac, iOs or Android, you will be able to download the images using download button.

Search Results for: Surface Gravity

Maaf, tidak ada yang cocok pencarian Anda. Silahkan coba lagi dengan kata kunci yang berbeda.